
A publicação do edital de abertura do Concurso TJRJ (Tribunal de Justiça do Rio de Janeiro) é iminente! A banca organizadora do certame assinou o documento de contratação na última segunda-feira (8/9).
A banca FGV (Fundação Getúlio Vargas) é a responsável pelas fases do novo concurso. O Tribunal prevê que a publicação do edital de abertura ocorra até outubro.
Cerca de 1200 nomeações até o fim do primeiro trimestre, segundo o presidente do TJRJ Ricardo Couto.
Confira o documento assinado:
Estude de graça!
Os concurseiros pediram e o Gavião atendeu. 🦅
Se você está estudando para concursos e deseja desfrutar de todas as ferramentas do Direção Concursos, aproveite 7 dias de graça com a Assinatura Degustação!
Com a degustação, sua preparação é acompanhada por professores de alto nível nas suas áreas de interesse!
Cargos TJRJ
O concurso TJ RJ foi oficialmente autorizado em 31 de março. O edital contará com vagas para os seguintes cargos e especialidades:
Para Nível Superior:
- Analista Judiciário
- Sem especialidade (para formados em Direito)
- Contador
- Execução de Mandados
- Psicólogo
- Assistente Social
- Comissário de Justiça da Infância, da Juventude e do Idoso
- Médico
- Médico Psiquiatra
- Analista de Negócios (TI)
- Analista de Infraestrutura de TIC (TI)
- Analista de Sistemas (TI)
- Analista de Projetos (TI)
- Analista de Gestão de TIC (TI)
- Analista de Inteligência Artificial (TI)
- Analista de Segurança da Informação (TI)
- Cientista de Dados (TI)
- Arquiteto de Dados (TI)
- Engenheiro de Dados (TI)
Para Nível médio
- Técnico de Atividade Judiciária
- sem especialidade
Salários TJ RJ
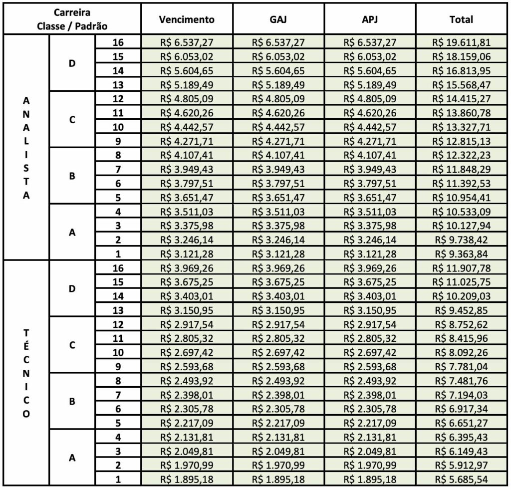
Confira, abaixo, a evolução remuneratória dos cargos, de acordo com o portal da transparência do TJ RJ:

Os valores incluem o vencimento básico, a Gratificação de Atividade Judiciária (GAJ) e o Adicional de Padrão Judiciário (APJ).
Mantenha-se informado!
O Direção possui um canal exclusivo para envio de notícias no WhatsApp! Além de todas as novidades do mundo dos concursos, lá você encontra e-books e outros materiais gratuitos, cupons EXCLUSIVOS de desconto, aulas GRATUITAS e muito mais.
Resumo do concurso TJ RJ
- Situação: banca definida
- Banca: FGV
- Vagas: CR
- Cargos: Técnico e Analista Judiciário
- Escolaridade: níveis médio e superior
- Salário inicial: até R$ R$ 9.363,84
- Último edital de Analista
Transforme seu futuro!
O mercado muda, mas a sua vida não precisa ser incerta! O Direção Concursos acredita no seu esforço e quer te ajudar a conquistar sua aprovação.
Aproveite até 77% de desconto nas assinaturas do Direção com a semana do Brasil, e inicie a sua jornada rumo à aprovação.
Não perca a chance de transformar sua vida com as condições especiais que criamos especialmente para você que batalha por seus sonhos.
Saiba tudo sobre concursos abertos e concursos previstos em um só lugar.
Clique nos links abaixo:
